Dfsu 3D#
Layered dfsu files comes in several different shapes:
3D
2D Vertical slice (transect)
1D Vertical profile
Two layer systems exist:
sigma (terrain and surface following coordinates)
sigma-z (sigma layers at the top and fixed z-layers at the bottom)
In sigma-layered files, all columns has the same number of layers. In sigma-z files, the number of z-layers can be different for different columns.
Layered dfsu files have a “hidden” first dynamic item called “zn” with the (dynamic) z-positions of the nodes.
Read the MIKE IO dfsu-3d documentation for more info.
import matplotlib.pyplot as plt
import mikeio
3D Sigma-z#
filename = "data/oresund_sigma_z.dfsu"
dfs = mikeio.open(filename)
dfs
Dfsu3DSigmaZ
number of elements: 17118
number of nodes: 12042
projection: UTM-33
number of sigma layers: 4
max number of z layers: 5
items:
0: Temperature <Temperature> (degree Celsius)
1: Salinity <Salinity> (PSU)
time: 3 steps with dt=10800.0s
1997-09-15 21:00:00 -- 1997-09-16 03:00:00
Apart from the normal dfsu properties, layered dfsu files have these properties:
print(f"Maximum number of layers: {dfs.n_layers}")
print(f"Number of sigma layers: {dfs.n_sigma_layers}")
print(f"Maximum number of z-layers: {dfs.n_z_layers}")
print(f"The layer number for each 3d element: {dfs.layer_ids}")
print(f"List of 3d element ids of surface layer: {dfs.top_elements}")
print(f"List of 3d element ids of bottom layer: {dfs.bottom_elements}")
print(f"List of number of layers for each column: {dfs.n_layers_per_column}")
print(f"The 2d-to-3d element connectivity table for a 3d object: {dfs.e2_e3_table[:3]} ...")
print(f"The associated 2d element id for each 3d element: {dfs.elem2d_ids}")
Maximum number of layers: 9
Number of sigma layers: 4
Maximum number of z-layers: 5
The layer number for each 3d element: [4 5 6 ... 6 7 8]
List of 3d element ids of surface layer: [ 4 8 12 ... 17106 17111 17117]
List of 3d element ids of bottom layer: [ 0 5 9 ... 17102 17107 17112]
List of number of layers for each column: [5 4 4 ... 5 5 6]
The 2d-to-3d element connectivity table for a 3d object: [array([0, 1, 2, 3, 4]) array([5, 6, 7, 8]) array([ 9, 10, 11, 12])] ...
The associated 2d element id for each 3d element: [ 0 0 0 ... 3699 3699 3699]
The associated 2D geometry for a 3D file can be outputted in this way:
geom2d = dfs.geometry2d
geom2d
Flexible Mesh Geometry: Dfsu2D
number of nodes: 2090
number of elements: 3700
projection: UTM-33
geom2d.n_elements
3700
Layers in a 3D file#
Get element ids for a specific layer with the get_layer_elements() method. Layer ids are 0-based (new in MIKE IO 0.10).
print("Number of elements per layer (5 z-layers, 4 sigma layers):")
for j in range(dfs.n_layers):
print(f"Layer {j}: {len(dfs.get_layer_elements(j))}")
Number of elements per layer (5 z-layers, 4 sigma layers):
Layer 0: 10
Layer 1: 86
Layer 2: 187
Layer 3: 528
Layer 4: 1507
Layer 5: 3700
Layer 6: 3700
Layer 7: 3700
Layer 8: 3700
# the bottom layer is a list of the elements with the lowest id for each column
# For sigma-z files it is NOT the same as layer 1
print(f"Bottom layer: {len(dfs.bottom_elements)}")
Bottom layer: 3700
Surface layer of 3D file#
ds = dfs.read(layers="top")
print(ds)
<mikeio.Dataset>
dims: (time:3, element:3700)
time: 1997-09-15 21:00:00 - 1997-09-16 03:00:00 (3 records)
geometry: Dfsu2D (3700 elements, 2090 nodes)
items:
0: Temperature <Temperature> (degree Celsius)
1: Salinity <Salinity> (PSU)
ds["Temperature"].plot();

max_t = ds['Temperature'].values.max()
print(f'Maximum temperature in top layer: {max_t:.1f}C')
Maximum temperature in top layer: 17.5C
Find position of max temperature and plot#
Use numpy argmax() method to find the element with the largest value.
timestep = 0
max_elem_id = ds['Temperature'].isel(time=timestep).values.argmax()
top_element_coordinates = dfs.element_coordinates[dfs.top_elements]
max_x, max_y = top_element_coordinates[max_elem_id][:2]
max_x, max_y
(333934.08510239207, 6158101.508170851)
ax = ds['Temperature'].plot(figsize=(6,7))
ax.plot(max_x, max_y, marker='*', markersize=20);

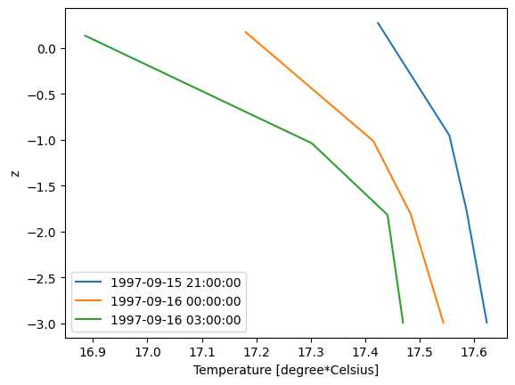
Read 1D profile from 3D file#
Find water column which has highest temperature and plot profile for all 3 time steps using dynamic z information.
dsp = dfs.read(x=max_x, y=max_y) # select vertical column from dfsu-3d
dsp['Temperature'].shape # 3 timesteps and 4 layers (no z-layers at this position)
(3, 4)
dsp['Temperature'].plot();

Read vertical slice#
filename = "data/oresund_vertical_slice.dfsu"
dfs = mikeio.open(filename)
dfs
DfsuVerticalProfileSigmaZ
number of elements: 441
number of nodes: 550
projection: UTM-33
number of sigma layers: 4
max number of z layers: 5
items:
0: Temperature <Temperature> (degree Celsius)
1: Salinity <Salinity> (PSU)
time: 3 steps with dt=10800.0s
1997-09-15 21:00:00 -- 1997-09-16 03:00:00
print(dfs.bottom_elements[:9])
print(dfs.n_layers_per_column[:9])
print(dfs.top_elements[:9])
[ 0 5 10 15 20 24 28 32 36]
[5 5 5 5 4 4 4 4 4]
[ 4 9 14 19 23 27 31 35 39]
da = dfs.read(items="Temperature")[0]
da.plot();
